유스터디 인강
유스터디 도서몰
복습TEST 해설지보러가기
로그인
회원가입
|
아이디 / 비밀번호찾기
부산학원안내
공지사항
시설안내
교수진소개
수강료 환불규정
오시는길
포토갤러리
합격자수기(~2020)
NEW 합격자수기
강좌안내
이달의 강좌
강의시간표
모의고사 일정
수강신청
교수진소개
7급·9급 공무원
소방공무원
교원임용
자료실
기출문제
모의고사
강의자료
무료강좌
영어자료
모의고사 성적
강의성적
수험정보센터
이벤트
상담실
수강상담실
교수님께질문하기
합격을 위한 선택!
한국공무원학원
9급 공무원
군무원
소방
소방직 필기시험
국가직 필기시험
지방직 필기시험
이달의 EVENT
모의고사 일정
기숙사 안내
(월 35만원)
참수리 학습관
Q&A
무료특강
합격수기
샘플강의
고객센터
051.803.6868
찾아오시는 길
무통장입금
부산은행 113-2008-3725-00
예금주: 주식회사 한영교육 정태일
채용정보
공무원 수험뉴스
작성일 : 15-08-17 12:33
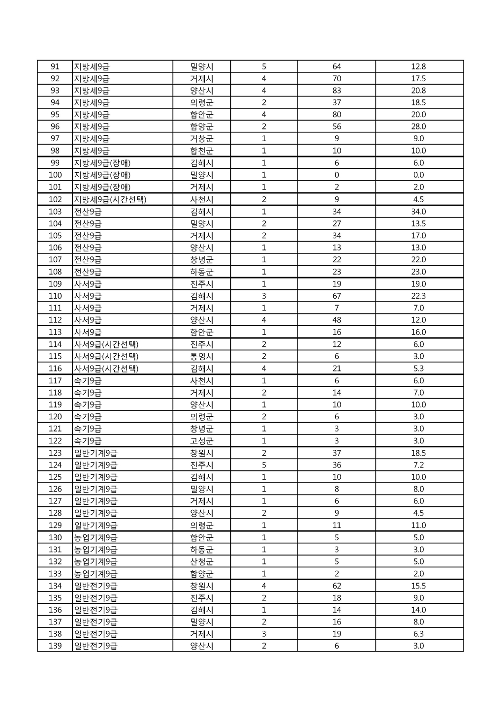
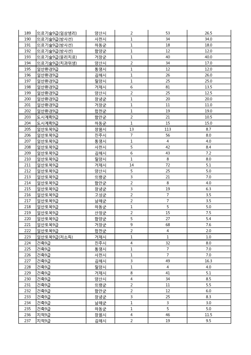
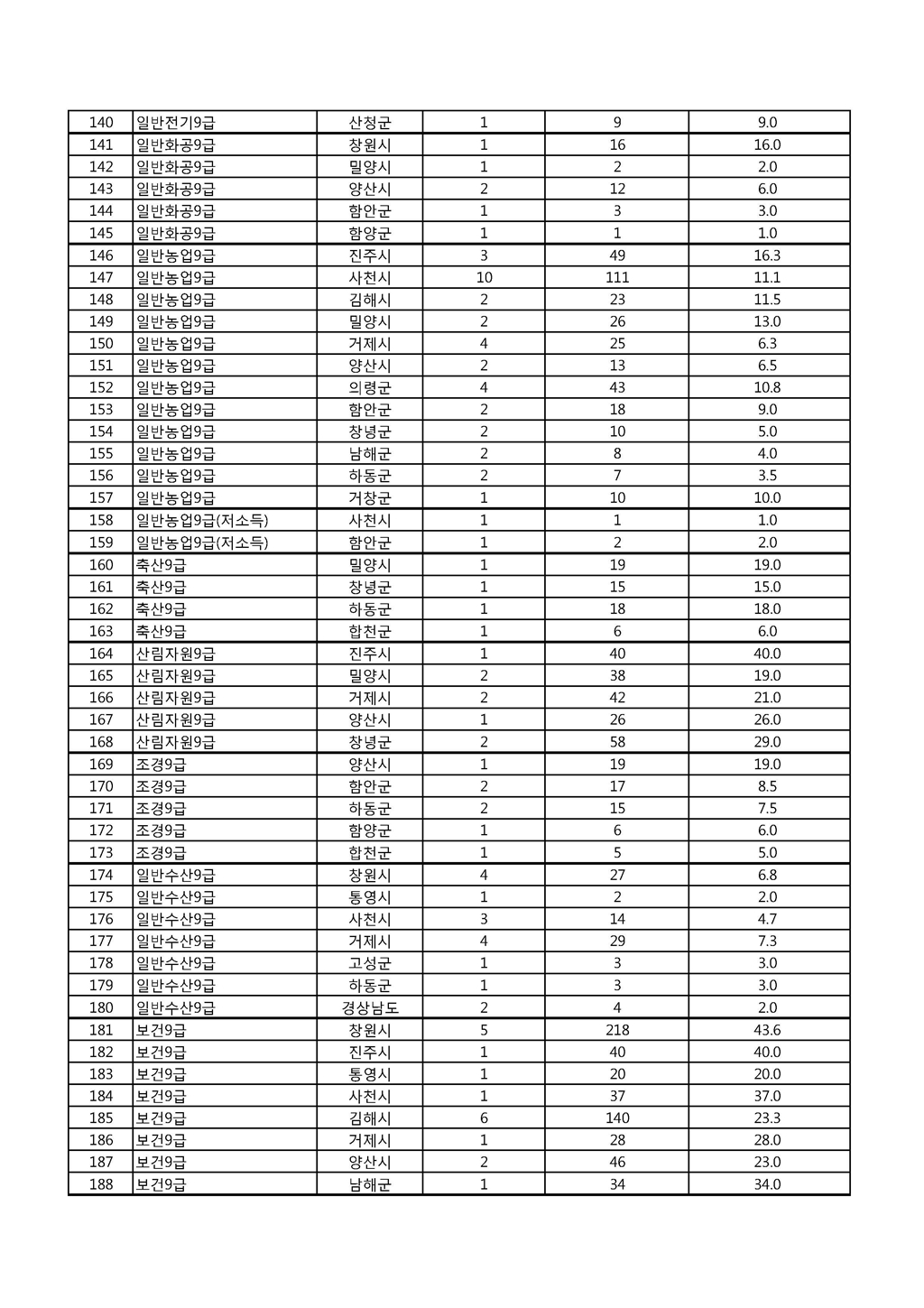
2015 제2회 경남 지방공무원 임용시험 경쟁률
글쓴이 :한국고시
조회 : 666
2015_경남_원서접수결과.pdf (58.5K)
[25]
DATE : {2015-08-17 12:33:34}
2015 제2회 경남 지방공무원 임용시험 경쟁률
모든 자료는
한국고시학원
의 허락없이 발췌·인용·링크·게시·배포 등을 할 수 없음.
만약 이를 어길 경우 법적 제재를 받게 됨을 알려드립니다.
학원소개
|
사이트맵
|
이용약관
|
개인정보취급방침
|
이메일무단수집거부
(주)한영교육
|
사업자등록번호: 605-81-88149
|
대표: 정태일
|
주소: 부산광역시 부산진구 중앙대로 680번길 40
|
고객센터: 051) 803-6868
통신판매 신고번호: 2008-부산진-0236
|
COPYRIGHT ⓒ GOSI10000.co.kr ALL RIGHTS RESERVED
|
등록번호: 제3039호